ÉÏÖÜ£¬¡°Ô¬À´ÔÆÔÆ¡±×¨À¸ÆðÔ´ÏÈÈÝÁËLBAÖеÄÖÊÁ¿¿ØÖÆÑùÆ·£¨QC£¬quality control£©ÖƱ¸¡¢ÈÏÖ¤£¨qualification£©ºÍÅú´ÎÒ»ÖÂÐÔά»¤µÄÏà¹Ø¿´·¨ºÍʵ¼ùÒªÁ죨ԬÀ´ÔÆÔÆ£ü´ó·Ö×ÓÉúÎïÆÊÎö¸ÅÂÛ£¨°Ë_ÉÏ£©£ºLBAÒªÁìÖÊÁ¿¿ØÖÆÑùÆ·µÄÖÆ±¸ºÍÈÏÖ¤£©¡£±¾ÆÚ½«ÑÓÐøÉÏÆÚÄÚÈÝ£¬Öصã¾Íî¿Ïµ»ú¹¹¶ÔQCµÄÒªÇ󡢸ú×ÙQCµÄЧÄÜÇ÷ÊÆ¡¢±ÜÃâÆÊÎöÆ¯ÒÆµÈ·½Ãæ×öÁËÏêϸ½â¶Á¡£
¡°Ô¬À´ÔÆÔÆ¡±×¨À¸Ïµ¹ãÖÝ333ÌåÓý¹ÙÍøÒ½Ò©Î¢ÐŹ«ÖںŴòÔìµÄ¿ÆÆÕѧÊõרÀ¸£¬ÄÚÈݾùΪ333ÌåÓý¹ÙÍøÒ½Ò©×Ó¹«Ë¾ÉîÛÚ²©Èð¸±×Ü˾ÀíÔ¬ÖDz©Ê¿Ô´´¡£
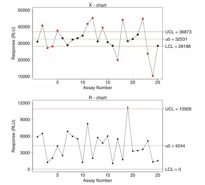
±í3.î¿Ïµ»ú¹¹¶ÔÓÃÓÚ¶¨Á¿ÆÊÎöQCµÄÒªÇóÖ®½ÏÁ¿¡£






ÔÁ¹«Íø°²±¸ 44011202001884ºÅ

ÔÁ¹«Íø°²±¸ 44011202001884ºÅ